Schematic image of the tip-in and the tip-out, showing the localization of the field enhancement with respect to the diffraction limited size of the excitation laser (left), and schematic sketch of the near-field and far-field probed volumes.
The electro-magnetic (EM) enhancement located at the TERS tip’s vicinity is the main contribution to the Raman signal amplification in TERS experiments. In this section, we describe the basic calculation formula widely adopted by the TERS community.
For the calculation of the enhancement factor (EF), the values of the following variables are used:
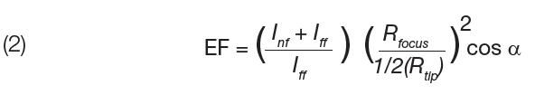
The general concept to the estimate enhancement factor EF is understood as the pure near field component with respect to the far field component; EF is expressed as follow23:

where Inf and Iff are the Raman scattering intensities from the near-field and far-field components, the first term in the bracket represents the contrast (which is the ratio of the near-field and far-field contributions) deriving from the Raman intensities when the tip is “in” and “out” (Fig. 8), Vff and Vnf are the volumes probed by the far- and near-fields respectively. This calculation assumes that the far-field Raman signal from the sample surface remains in the focus area when the tip is “in” or “out”.
The far-field intensity Iff, measured when the TERS tip is withdrawn (tip-out), is detected from the focal volume where Inf and Iff are the Raman scattering intensities from the near-field and far-field components, the first term in the bracket represents the contrast (which is the ratio of the near-field and far-field contributions) deriving from the Raman intensities when the tip is “in” and “out” (Fig. 8), Vff and Vnf are the volumes probed by the far- and near-fields respectively. This calculation assumes that the far-field Raman signal from the sample surface remains in the focus area when the tip is “in” or “out”.
The far-field intensity Iff, measured when the TERS tip is withdrawn (tip-out), is detected from the focal volume

where Rfocus and hff are respectively the focal radius and the effective focus depth.
Comparison of focus spot objective lens assigned from top with 0 degree relative to orthogonal plane with sample plane and with 60 degree.
On the other hand, when the tip is in the close vicinity of the sample surface (1-3 nm), the collected Raman intensity includes both the near-field and far-field contributions, denoted as Inf + Iff .
Note that for a tip diameter below 20 nm, one can consider that the far-field contribution is also coming from a mirror effect from the tip itself; the global field contribution can thus be seen as Inf + 2Iff24. The near-field signal Inf is detected from a localized volume around the apex of tip denoted as the TERS volume (RTERS)2π hnf, with RTERS and hnfthe radius and the effective height of the near-field.
In order to estimate this near-field radius, the following approximation can be made, RTERS ≈ . Rtip . When TERS is performed in oblique reflection mode, the incidence of the beam comes with a nonzero angle relative to the sample surface. This gives an elliptic shape of the focus spot which is numerically expressed as the size of spot divided with the term cosα in the inclined plane because the elliptic shape affects the focal intensity acting on the tip as shown in Fig. 9.
Comparison of a Far-Field Raman scattering spectrum with the Tip-Enhanced Raman spectrum of Azobenzene molecules grafted on a flat gold film.
But in reality the recorded far-field Raman intensity is nonsusceptible to this spot’s size expansion; indeed, the decrease of the field density is compensated with a larger amount of probed molecules in the elliptic-shaped focus. A sufficiently thin layer gives modification on the previous formula (1); then, the volumes can be approximated as spot areas and the approximation hff ≈ hnf is made. Thus, Vff / Vnf ≈ Rfocus2 / RTERS2 is derived and the TERS enhancement becomes:

For the practical example, for a contrast of (Inf+ Iff) / Iff = 50, Rfocus = 1,200 nm, Rtip = 30 nm, α = 60, the second term becomes = 6400, and the third is 1/2. In total, the overall TERS enhancement is then EF = 2.8 × 105.
Let’s emphasize that the estimation of the overall TERS enhancement depends on several parameters that are not precisely measurable, like the tip radius, focus radius, depth of focus of the near-field, the angle of incidence and the previously mentioned mirror effect of the tip shaft. Errors of 20–50% in these values can result in substantial over- or underestimation of the TERS enhancement23. This is one of the roadblocks for the comparability of TERS tip performance. Inevitably, main errors are understood to be caused by inhomogeneities in sample composition, its density, and its thickness of molecular, which is challenging for reproducible comparisons of the enhancement factor among their own laboratory made TERS tips. For more precise EF calculation, one might need more advanced preparation protocol of both tip and sample.
